



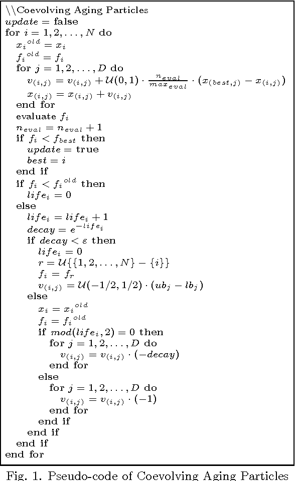
We propose Multi-Strategy Coevolving Aging Particles (MS-CAP), a novel population-based algorithm for black-box optimization. In a memetic fashion, MS-CAP combines two components with complementary algorithm logics. In the first stage, each particle is perturbed independently along each dimension with a progressively shrinking (decaying) radius, and attracted towards the current best solution with an increasing force. In the second phase, the particles are mutated and recombined according to a multi-strategy approach in the fashion of the ensemble of mutation strategies in Differential Evolution. The proposed algorithm is tested, at different dimensionalities, on two complete black-box optimization benchmarks proposed at the Congress on Evolutionary Computation 2010 and 2013. To demonstrate the applicability of the approach, we also test MS-CAP to train a Feedforward Neural Network modelling the kinematics of an 8-link robot manipulator. The numerical results show that MS-CAP, for the setting considered in this study, tends to outperform the state-of-the-art optimization algorithms on a large set of problems, thus resulting in a robust and versatile optimizer.