



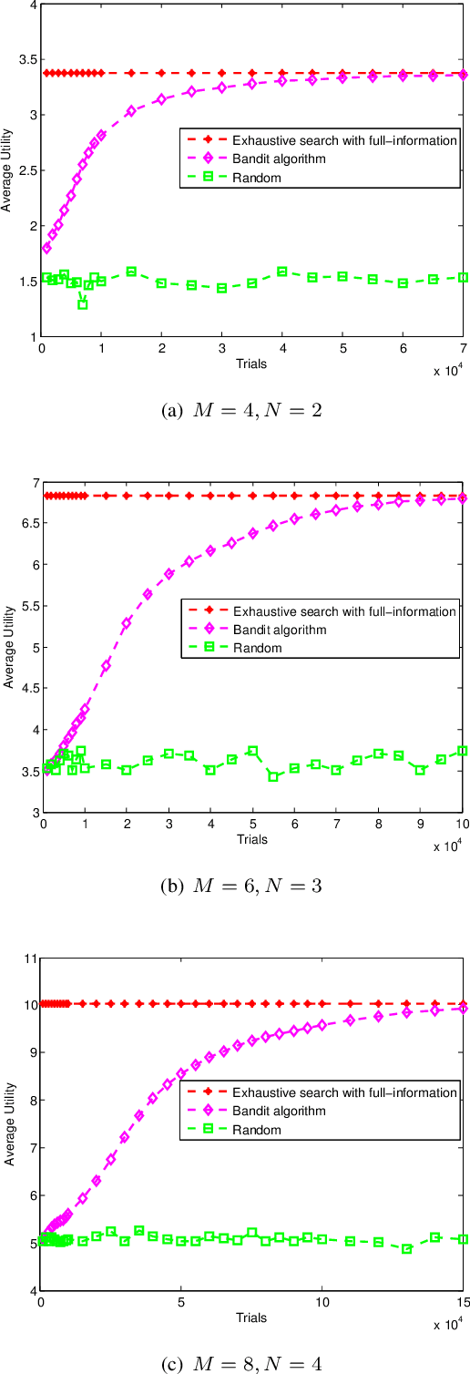
Due to the pervasive demand for mobile services, next generation wireless networks are expected to be able to deliver high date rates while wireless resources become more and more scarce. This requires the next generation wireless networks to move towards new networking paradigms that are able to efficiently support resource-demanding applications such as personalized mobile services. Examples of such paradigms foreseen for the emerging fifth generation (5G) cellular networks include very densely deployed small cells and device-to-device communications. For 5G networks, it will be imperative to search for spectrum and energy-efficient solutions to the resource allocation problems that i) are amenable to distributed implementation, ii) are capable of dealing with uncertainty and lack of information, and iii) can cope with users' selfishness. The core objective of this article is to investigate and to establish the potential of multi-armed bandit (MAB) framework to address this challenge. In particular, we provide a brief tutorial on bandit problems, including different variations and solution approaches. Furthermore, we discuss recent applications as well as future research directions. In addition, we provide a detailed example of using an MAB model for energy-efficient small cell planning in 5G networks.