
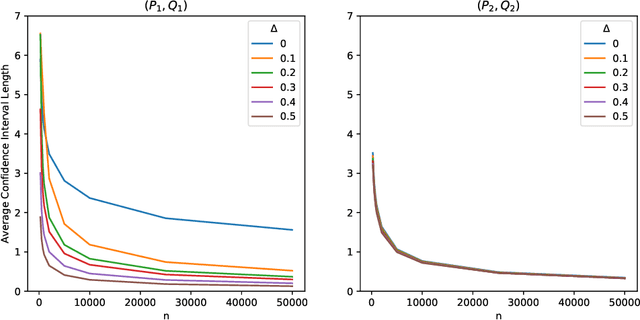
The Wasserstein distance has risen in popularity in the statistics and machine learning communities as a useful metric for comparing probability distributions. We study the problem of uncertainty quantification for the Sliced Wasserstein distance--an easily computable approximation of the Wasserstein distance. Specifically, we construct confidence intervals for the Sliced Wasserstein distance which have finite-sample validity under no assumptions or mild moment assumptions, and are adaptive in length to the smoothness of the underlying distributions. We also bound the minimax risk of estimating the Sliced Wasserstein distance, and show that the length of our proposed confidence intervals is minimax optimal over appropriate distribution classes. To motivate the choice of these classes, we also study minimax rates of estimating a distribution under the Sliced Wasserstein distance. These theoretical findings are complemented with a simulation study.