



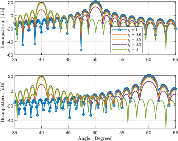
To efficiently utilize the wireless spectrum and save hardware costs, the fifth generation and beyond (B5G) wireless networks envisage integrated sensing and communications (ISAC) paradigms to jointly access the spectrum. In B5G systems, the expensive hardware is usually avoided by employing hybrid beamformers that employ fewer radio-frequency chains but at the cost of the multiplexing gain. Recently, it has been proposed to overcome this shortcoming of millimeter wave (mmWave) hybrid beamformers through spatial path index modulation (SPIM), which modulates the spatial paths between the base station and users and improves spectral efficiency. In this paper, we propose an SPIM-ISAC approach for hybrid beamforming to simultaneously generate beams toward both radar targets and communications users. We introduce a low complexity approach for the design of hybrid beamformers, which include radar-only and communications-only beamformers. Numerical experiments demonstrate that our SPIM-ISAC approach exhibits a significant performance improvement over the conventional mmWave-ISAC design in terms of spectral efficiency and the generated beampattern.