



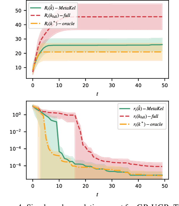
Obtaining reliable, adaptive confidence sets for prediction functions (hypotheses) is a central challenge in sequential decision-making tasks, such as bandits and model-based reinforcement learning. These confidence sets typically rely on prior assumptions on the hypothesis space, e.g., the known kernel of a Reproducing Kernel Hilbert Space (RKHS). Hand-designing such kernels is error prone, and misspecification may lead to poor or unsafe performance. In this work, we propose to meta-learn a kernel from offline data (Meta-KeL). For the case where the unknown kernel is a combination of known base kernels, we develop an estimator based on structured sparsity. Under mild conditions, we guarantee that our estimated RKHS yields valid confidence sets that, with increasing amounts of offline data, become as tight as those given the true unknown kernel. We demonstrate our approach on the kernelized bandit problem (a.k.a.~Bayesian optimization), where we establish regret bounds competitive with those given the true kernel. We also empirically evaluate the effectiveness of our approach on a Bayesian optimization task.