



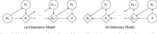
We argue that flow-based density models based on continuous bijections are limited in their ability to learn target distributions with complicated topologies, and propose Localised Generative Flows (LGFs) to address this problem. LGFs are composed of stacked continuous mixtures of bijections, which enables each bijection to learn a local region of the target rather than its entirety. Our method is a generalisation of existing flow-based methods, which can be used without modification as the basis for an LGF model. Unlike normalising flows, LGFs do not permit exact computation of log likelihoods, but we propose a simple variational scheme that performs well in practice. We show empirically that LGFs yield improved performance across a variety of density estimation tasks.