


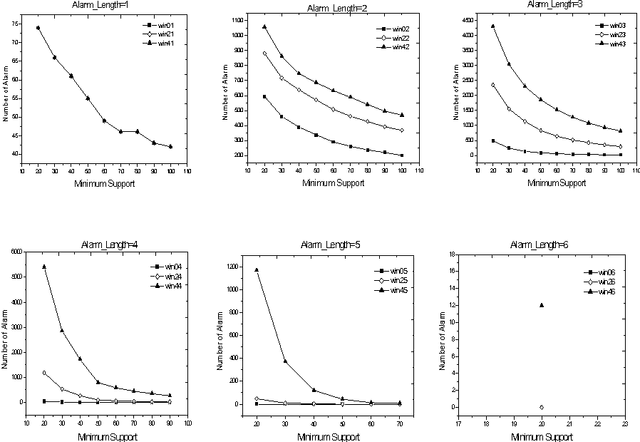
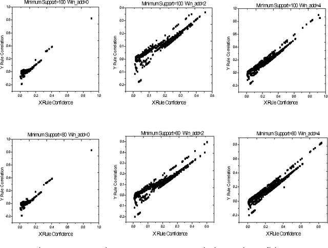
Alarm correlation plays an important role in improving the service and reliability in modern telecommunications networks. Most previous research of alarm correlation didn't consider the effect of noise data in Database. This paper focuses on the method of discovering alarm correlation rules from database containing noise data. We firstly define two parameters Win_freq and Win_add as the measure of noise data and then present the Robust_search algorithm to solve the problem. At different size of Win_freq and Win_add, experiments with alarm data containing noise data show that the Robust_search Algorithm can discover the more rules with the bigger size of Win_add. We also experimentally compare two different interestingness measures of confidence and correlation.