



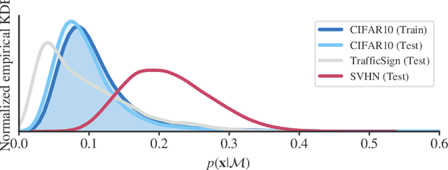
Likelihood-based generative models are a promising resource to detect out-of-distribution (OOD) inputs which could compromise the robustness or reliability of a machine learning system. However, likelihoods derived from such models have been shown to be problematic for detecting certain types of inputs that significantly differ from training data. In this paper, we pose that this problem is due to the excessive influence that input complexity has in generative models' likelihoods. We report a set of experiments supporting this hypothesis, and use an estimate of input complexity to derive an efficient and parameter-free OOD score, which can be seen as a likelihood-ratio test akin to Bayesian model comparison. We find such score to perform comparably to, or even better than, existing OOD detection approaches under a wide range of data sets, models, and complexity estimates.