


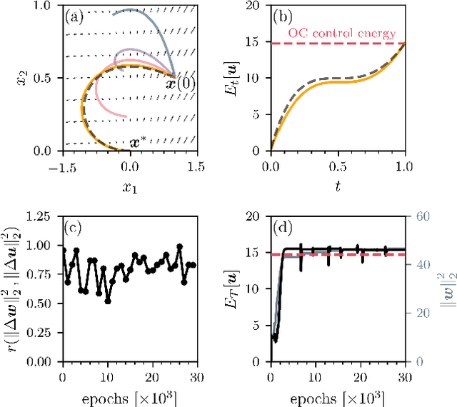
Although optimal control problems of dynamical systems can be formulated within the framework of variational calculus, their solution for complex systems is often analytically and computationally intractable. In this Letter we present a versatile neural ordinary-differential-equation control (NODEC) framework with implicit energy regularization and use it to obtain neural-network-generated control signals that can steer dynamical systems towards a desired target state within a predefined amount of time. We demonstrate the ability of NODEC to learn control signals that closely resemble those found by corresponding optimal control frameworks in terms of control energy and deviation from the desired target state. Our results suggest that NODEC is capable to solve a wide range of control and optimization problems, including those that are analytically intractable.