



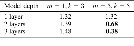
Ensemble learning is a method of combining multiple trained models to improve the model accuracy. We introduce the usage of such methods, specifically ensemble average inside Convolutional Neural Networks (CNNs) architectures. By Inner Average Ensemble (IEA) of multiple convolutional neural layers (CNLs) replacing the single CNL inside the CNN architecture, the accuracy of the CNN increased. A visual and a similarity score analysis of the features generated from IEA explains why it boosts the model performance. Empirical results using different benchmarking datasets and well-known deep model architectures shows that IEA outperforms the ordinary CNL used in CNNs.