



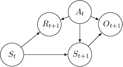
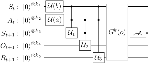
Reinforcement learning (RL) provides a principled framework for decision-making in partially observable environments, which can be modeled as Markov decision processes and compactly represented through dynamic decision Bayesian networks. Recent advances demonstrate that inference on sparse Bayesian networks can be accelerated using quantum rejection sampling combined with amplitude amplification, leading to a computational speedup in estimating acceptance probabilities.\\ Building on this result, we introduce Quantum Bayesian Reinforcement Learning (QBRL), a hybrid quantum-classical look-ahead algorithm for model-based RL in partially observable environments. We present a rigorous, oracle-free time complexity analysis under fault-tolerant assumptions for the quantum device. Unlike standard treatments that assume a black-box oracle, we explicitly specify the inference process, allowing our bounds to more accurately reflect the true computational cost. We show that, for environments whose dynamics form a sparse Bayesian network, horizon-based near-optimal planning can be achieved sub-quadratically faster through quantum-enhanced belief updates. Furthermore, we present numerical experiments benchmarking QBRL against its classical counterpart on simple yet illustrative decision-making tasks. Our results offer a detailed analysis of how the quantum computational advantage translates into decision-making performance, highlighting that the magnitude of the advantage can vary significantly across different deployment settings.