

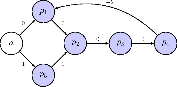
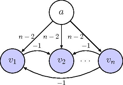
Kidney exchange is a barter market where patients trade willing but medically incompatible donors. These trades occur via cycles, where each patient-donor pair both gives and receives a kidney, and via chains, which begin with an altruistic donor who does not require a kidney in return. For logistical reasons, the maximum length of a cycle is typically limited to a small constant, while chains can be much longer. Given a compatibility graph of patient-donor pairs, altruists, and feasible potential transplants between them, finding even a maximum-cardinality set of vertex-disjoint cycles and chains is NP-hard. There has been much work on developing provably optimal solvers that are efficient in practice. One of the leading techniques has been branch and price, where column generation is used to incrementally bring cycles and chains into the optimization model on an as-needed basis. In particular, only positive-price columns need to be brought into the model. We prove that finding a positive-price chain is NP-complete. This shows incorrectness of two leading branch-and-price solvers that suggested polynomial-time chain pricing algorithms.