



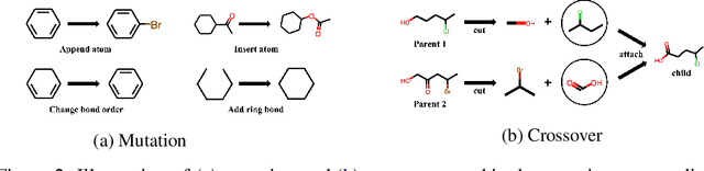
De novo molecular design attempts to search over the chemical space for molecules with the desired property. Recently, deep learning has gained considerable attention as a promising approach to solve the problem. In this paper, we propose genetic expert-guided learning (GEGL), a simple yet novel framework for training a deep neural network (DNN) to generate highly-rewarding molecules. Our main idea is to design a "genetic expert improvement" procedure, which generates high-quality targets for imitation learning of the DNN. Extensive experiments show that GEGL significantly improves over state-of-the-art methods. For example, GEGL manages to solve the penalized octanol-water partition coefficient optimization with a score of 31.82, while the best-known score in the literature is 26.1. Besides, for the GuacaMol benchmark with 20 tasks, our method achieves the highest score for 19 tasks, in comparison with state-of-the-art methods, and newly obtains the perfect score for three tasks.