


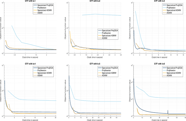
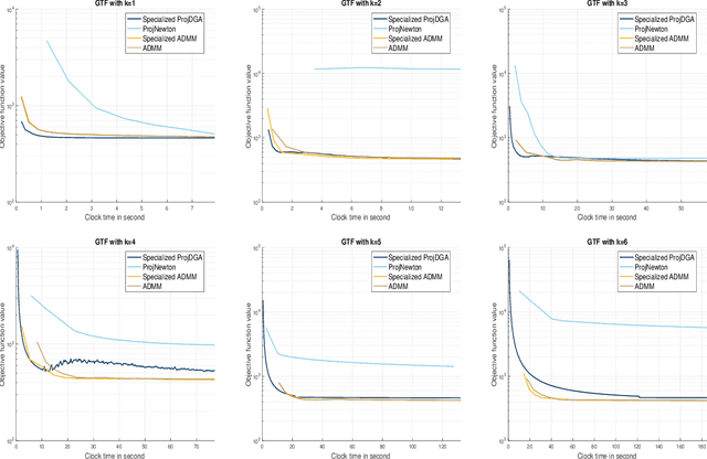
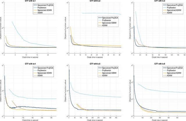
We propose a class of first-order gradient-type optimization algorithms to solve structured \textit{filtering-clustering problems}, a class of problems which include trend filtering and $\ell_1$-convex clustering as special cases. Our first main result establishes the linear convergence of deterministic gradient-type algorithms despite the extreme ill-conditioning of the difference operator matrices in these problems. This convergence result is based on a convex-concave saddle point formulation of filtering-clustering problems and the fact that the dual form of the problem admits a global error bound, a result which is based on the celebrated Hoffman bound for the distance between a point and its projection onto an optimal set. The linear convergence rate also holds for stochastic variance reduction gradient-type algorithms. Finally, we present empirical results to show that the algorithms that we analyze perform comparable to state-of-the-art algorithms for trend filtering, while presenting advantages for scalability.