



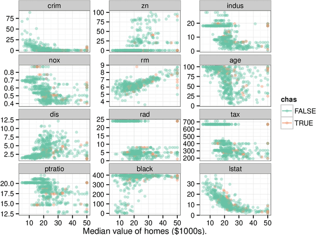
Random Forests [Breiman:2001] (RF) are a fully non-parametric statistical method requiring no distributional assumptions on covariate relation to the response. RF are a robust, nonlinear technique that optimizes predictive accuracy by fitting an ensemble of trees to stabilize model estimates. The randomForestSRC package (http://cran.r-project.org/package=randomForestSRC) is a unified treatment of Breiman's random forests for survival, regression and classification problems. Predictive accuracy make RF an attractive alternative to parametric models, though complexity and interpretability of the forest hinder wider application of the method. We introduce the ggRandomForests package (http://cran.r-project.org/package=ggRandomForests), for visually understand random forest models grown in R with the randomForestSRC package. The vignette is a tutorial for using the ggRandomForests package with the randomForestSRC package for building and post-processing a regression random forest. In this tutorial, we explore a random forest model for the Boston Housing Data, available in the MASS package. We grow a random forest for regression and demonstrate how ggRandomForests can be used when determining variable associations, interactions and how the response depends on predictive variables within the model. The tutorial demonstrates the design and usage of many of ggRandomForests functions and features how to modify and customize the resulting ggplot2 graphic objects along the way. A development version of the ggRandomForests package is available on Github. We invite comments, feature requests and bug reports for this package at (https://github.com/ehrlinger/ggRandomForests).