


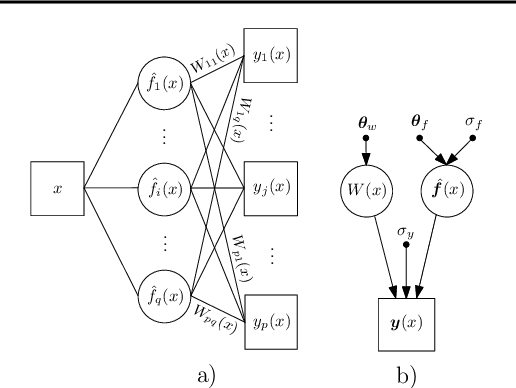
We introduce a new regression framework, Gaussian process regression networks (GPRN), which combines the structural properties of Bayesian neural networks with the non-parametric flexibility of Gaussian processes. This model accommodates input dependent signal and noise correlations between multiple response variables, input dependent length-scales and amplitudes, and heavy-tailed predictive distributions. We derive both efficient Markov chain Monte Carlo and variational Bayes inference procedures for this model. We apply GPRN as a multiple output regression and multivariate volatility model, demonstrating substantially improved performance over eight popular multiple output (multi-task) Gaussian process models and three multivariate volatility models on benchmark datasets, including a 1000 dimensional gene expression dataset.