



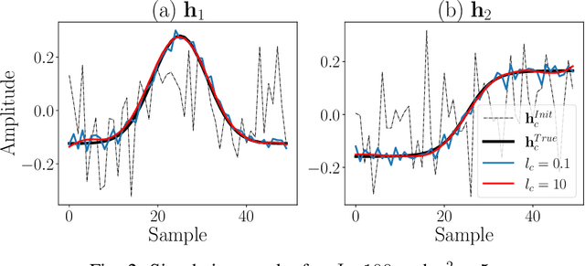
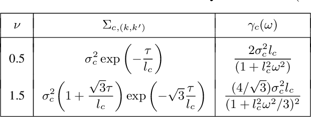
Convolutional dictionary learning (CDL), the problem of estimating shift-invariant templates from data, is typically conducted in the absence of a prior/structure on the templates. In data-scarce or low signal-to-noise ratio (SNR) regimes, which have received little attention from the community, learned templates overfit the data and lack smoothness, which can affect the predictive performance of downstream tasks. To address this limitation, we propose GPCDL, a convolutional dictionary learning framework that enforces priors on templates using Gaussian Processes (GPs). With the focus on smoothness, we show theoretically that imposing a GP prior is equivalent to Wiener filtering the learned templates, thereby suppressing high-frequency components and promoting smoothness. We show that the algorithm is a simple extension of the classical iteratively reweighted least squares, which allows the flexibility to experiment with different smoothness assumptions. Through simulation, we show that GPCDL learns smooth dictionaries with better accuracy than the unregularized alternative across a range of SNRs. Through an application to neural spiking data from rats, we show that learning templates by GPCDL results in a more accurate and visually-interpretable smooth dictionary, leading to superior predictive performance compared to non-regularized CDL, as well as parametric alternatives.