



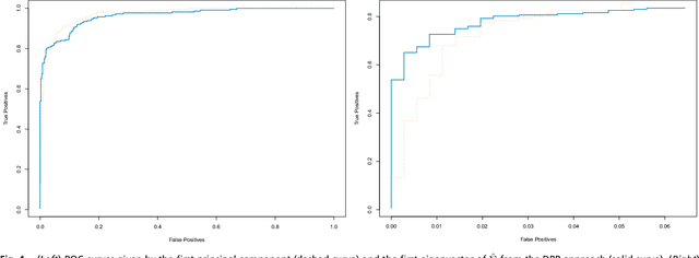
Determinantal point processes (a.k.a. DPPs) have recently become popular tools for modeling the phenomenon of negative dependence, or repulsion, in data. However, our understanding of an analogue of a classical parametric statistical theory is rather limited for this class of models. In this work, we investigate a parametric family of Gaussian DPPs with a clearly interpretable effect of parametric modulation on the observed points. We show that parameter modulation impacts the observed points by introducing directionality in their repulsion structure, and the principal directions correspond to the directions of maximal (i.e. the most long ranged) dependency. This model readily yields a novel and viable alternative to Principal Component Analysis (PCA) as a dimension reduction tool that favors directions along which the data is most spread out. This methodological contribution is complemented by a statistical analysis of a spiked model similar to that employed for covariance matrices as a framework to study PCA. These theoretical investigations unveil intriguing questions for further examination in random matrix theory, stochastic geometry and related topics.