



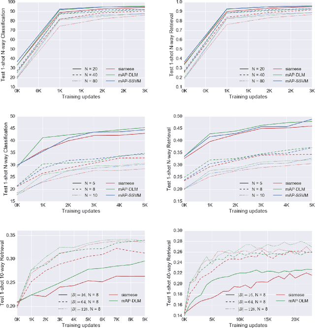
Few-shot learning refers to understanding new concepts from only a few examples. We propose an information retrieval-inspired approach for this problem that is motivated by the increased importance of maximally leveraging all the available information in this low-data regime. We define a training objective that aims to extract as much information as possible from each training batch by effectively optimizing over all relative orderings of the batch points simultaneously. In particular, we view each batch point as a `query' that ranks the remaining ones based on its predicted relevance to them and we define a model within the framework of structured prediction to optimize mean Average Precision over these rankings. Our method achieves impressive results on the standard few-shot classification benchmarks while is also capable of few-shot retrieval.