


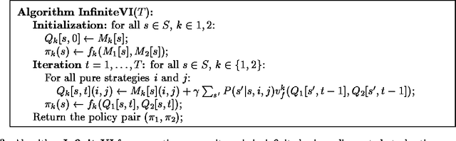
Stochastic games generalize Markov decision processes (MDPs) to a multiagent setting by allowing the state transitions to depend jointly on all player actions, and having rewards determined by multiplayer matrix games at each state. We consider the problem of computing Nash equilibria in stochastic games, the analogue of planning in MDPs. We begin by providing a generalization of finite-horizon value iteration that computes a Nash strategy for each player in generalsum stochastic games. The algorithm takes an arbitrary Nash selection function as input, which allows the translation of local choices between multiple Nash equilibria into the selection of a single global Nash equilibrium. Our main technical result is an algorithm for computing near-Nash equilibria in large or infinite state spaces. This algorithm builds on our finite-horizon value iteration algorithm, and adapts the sparse sampling methods of Kearns, Mansour and Ng (1999) to stochastic games. We conclude by descrbing a counterexample showing that infinite-horizon discounted value iteration, which was shown by shaplely to converge in the zero-sum case (a result we give extend slightly here), does not converge in the general-sum case.