



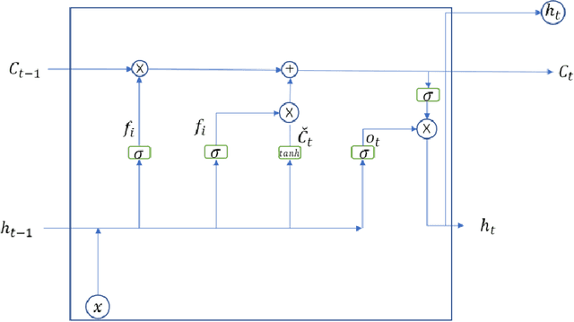
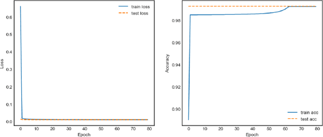
The emergence of Long Short-Term Memory (LSTM) solves the problems of vanishing gradient and exploding gradient in traditional Recurrent Neural Networks (RNN). LSTM, as a new type of RNN, has been widely used in various fields, such as text prediction, Wind Speed Forecast, depression prediction by EEG signals, etc. The results show that improving the efficiency of LSTM can help to improve the efficiency in other application areas. In this paper, we proposed an advanced LSTM algorithm, the Extreme Long Short-Term Memory (E-LSTM), which adds the inverse matrix part of Extreme Learning Machine (ELM) as a new "gate" into the structure of LSTM. This "gate" preprocess a portion of the data and involves the processed data in the cell update of the LSTM to obtain more accurate data with fewer training rounds, thus reducing the overall training time. In this research, the E-LSTM model is used for the text prediction task. Experimental results showed that the E-LSTM sometimes takes longer to perform a single training round, but when tested on a small data set, the new E-LSTM requires only 2 epochs to obtain the results of the 7th epoch traditional LSTM. Therefore, the E-LSTM retains the high accuracy of the traditional LSTM, whilst also improving the training speed and the overall efficiency of the LSTM.