



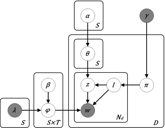
This paper tackles the problem of automatically labelling sentiment-bearing topics with descriptive sentence labels. We propose two approaches to the problem, one extractive and the other abstractive. Both approaches rely on a novel mechanism to automatically learn the relevance of each sentence in a corpus to sentiment-bearing topics extracted from that corpus. The extractive approach uses a sentence ranking algorithm for label selection which for the first time jointly optimises topic--sentence relevance as well as aspect--sentiment co-coverage. The abstractive approach instead addresses aspect--sentiment co-coverage by using sentence fusion to generate a sentential label that includes relevant content from multiple sentences. To our knowledge, we are the first to study the problem of labelling sentiment-bearing topics. Our experimental results on three real-world datasets show that both the extractive and abstractive approaches outperform four strong baselines in terms of facilitating topic understanding and interpretation. In addition, when comparing extractive and abstractive labels, our evaluation shows that our best performing abstractive method is able to provide more topic information coverage in fewer words, at the cost of generating less grammatical labels than the extractive method. We conclude that abstractive methods can effectively synthesise the rich information contained in sentiment-bearing topics.