

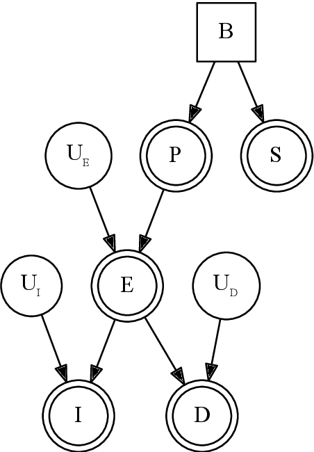
One approach to defining Intention is to use the counterfactual tools developed to define Causality. Direct Intention is considered the highest level of intent in the common law, and is a sufficient component for the most serious crimes to be committed. Loosely defined it is the commission of actions to bring about a desired or targeted outcome. Direct Intention is not always necessary for the most serious category of crimes because society has also found it necessary to develop a theory of intention around side-effects, known as oblique intent or indirect intent. This is to prevent moral harms from going unpunished which were not the aim of the actor, but were natural consequences nevertheless. This paper uses a canonical example of a plane owner, planting a bomb on their own plane in order to collect insurance, to illustrate how two accounts of counterfactual intent do not conclude that murder of the plane's passengers and crew were directly intended. We extend both frameworks to include a definition of oblique intent developed in Ashton (2021)