



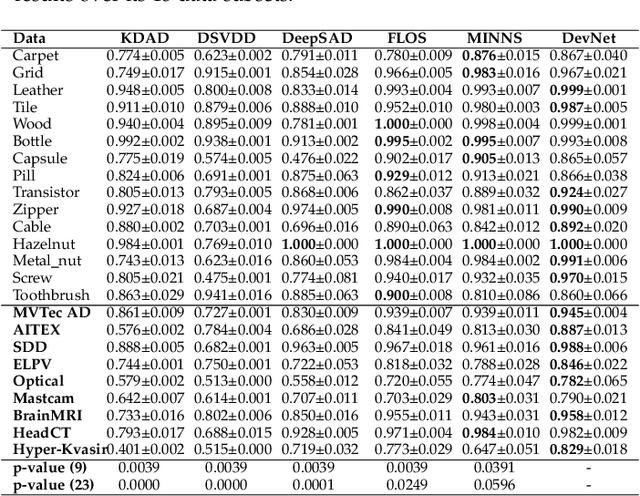
Existing anomaly detection paradigms overwhelmingly focus on training detection models using exclusively normal data or unlabeled data (mostly normal samples). One notorious issue with these approaches is that they are weak in discriminating anomalies from normal samples due to the lack of the knowledge about the anomalies. Here, we study the problem of few-shot anomaly detection, in which we aim at using a few labeled anomaly examples to train sample-efficient discriminative detection models. To address this problem, we introduce a novel weakly-supervised anomaly detection framework to train detection models without assuming the examples illustrating all possible classes of anomaly. Specifically, the proposed approach learns discriminative normality (regularity) by leveraging the labeled anomalies and a prior probability to enforce expressive representations of normality and unbounded deviated representations of abnormality. This is achieved by an end-to-end optimization of anomaly scores with a neural deviation learning, in which the anomaly scores of normal samples are imposed to approximate scalar scores drawn from the prior while that of anomaly examples is enforced to have statistically significant deviations from these sampled scores in the upper tail. Furthermore, our model is optimized to learn fine-grained normality and abnormality by top-K multiple-instance-learning-based feature subspace deviation learning, allowing more generalized representations. Comprehensive experiments on nine real-world image anomaly detection benchmarks show that our model is substantially more sample-efficient and robust, and performs significantly better than state-of-the-art competing methods in both closed-set and open-set settings. Our model can also offer explanation capability as a result of its prior-driven anomaly score learning. Code and datasets are available at: https://git.io/DevNet.