
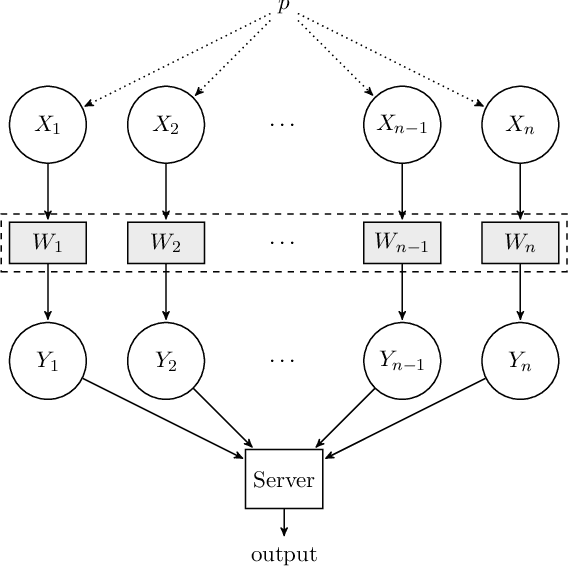
We consider the task of estimating sparse discrete distributions under local differential privacy and communication constraints. Under local privacy constraints, we present a sample-optimal private-coin scheme that only sends a one-bit message per user. For communication constraints, we present a public-coin scheme based on random hashing functions, which we prove is optimal up to logarithmic factors. Our results show that the sample complexity only depends logarithmically on the ambient dimension, thus providing significant improvement in sample complexity under sparsity assumptions. Our lower bounds are based on a recently proposed chi-squared contraction method.