



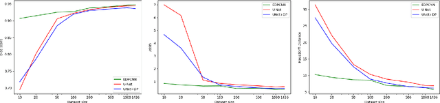
Differentiable programming is able to combine different functions or programs in a processing pipeline with the goal of applying end-to-end learning or optimization. A significant impediment is the non-differentiable nature of some algorithms. We propose to use synthetic gradients (SG) to overcome this difficulty. SG uses the universal function approximation property of neural networks. We apply SG to combine convolutional neural network (CNN) with dynamic programming (DP) in end-to-end learning for segmenting left ventricle from short axis view of heart MRI. Our experiments show that end-to-end combination of CNN and DP requires fewer labeled images to achieve a significantly better segmentation accuracy than using only CNN.