



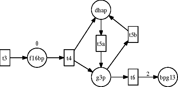
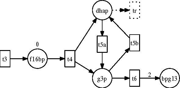
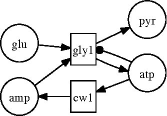
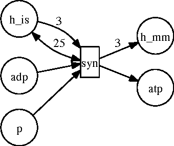
One of our long term research goals is to develop systems to answer realistic questions (e.g., some mentioned in textbooks) about biological pathways that a biologist may ask. To answer such questions we need formalisms that can model pathways, simulate their execution, model intervention to those pathways, and compare simulations under different circumstances. We found Petri Nets to be the starting point of a suitable formalism for the modeling and simulation needs. However, we need to make extensions to the Petri Net model and also reason with multiple simulation runs and parallel state evolutions. Towards that end Answer Set Programming (ASP) implementation of Petri Nets would allow us to do both. In this paper we show how ASP can be used to encode basic Petri Nets in an intuitive manner. We then show how we can modify this encoding to model several Petri Net extensions by making small changes. We then highlight some of the reasoning capabilities that we will use to accomplish our ultimate research goal.