



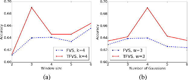
With the increasing availability of wearable devices, research on egocentric activity recognition has received much attention recently. In this paper, we build a Multimodal Egocentric Activity dataset which includes egocentric videos and sensor data of 20 fine-grained and diverse activity categories. We present a novel strategy to extract temporal trajectory-like features from sensor data. We propose to apply the Fisher Kernel framework to fuse video and temporal enhanced sensor features. Experiment results show that with careful design of feature extraction and fusion algorithm, sensor data can enhance information-rich video data. We make publicly available the Multimodal Egocentric Activity dataset to facilitate future research.