

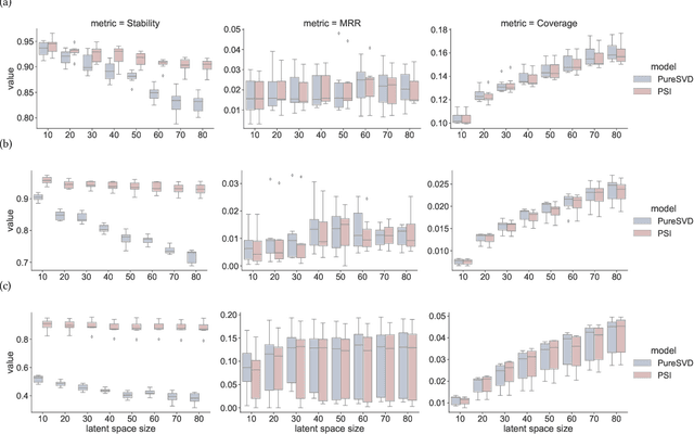
In domains where users tend to develop long-term preferences that do not change too frequently, the stability of recommendations is an important factor of the perceived quality of a recommender system. In such cases, unstable recommendations may lead to poor personalization experience and distrust, driving users away from a recommendation service. We propose an incremental learning scheme that mitigates such problems through the dynamic modeling approach. It incorporates a generalized matrix form of a partial differential equation integrator that yields a dynamic low-rank approximation of time-dependent matrices representing user preferences. The scheme allows extending the famous PureSVD approach to time-aware settings and significantly improves its stability without sacrificing the accuracy in standard top-$n$ recommendations tasks.