



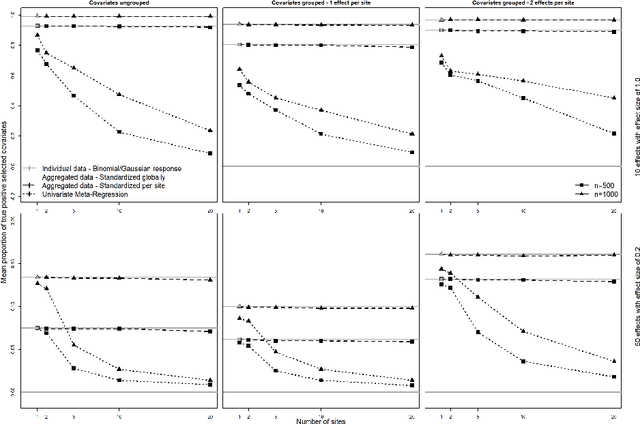
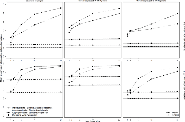
Data protection constraints frequently require a distributed analysis of data, i.e., individual-level data remains at many different sites, but analysis nevertheless has to be performed jointly. The corresponding aggregated data is often exchanged manually, requiring explicit permission before transfer, i.e., the number of data calls and the amount of data should be limited. Thus, only simple aggregated summary statistics are typically transferred with just a single call. This does not allow for more complex tasks such as variable selection. As an alternative, we propose a multivariable regression approach for identifying important markers by automatic variable selection based on aggregated data from different locations in iterative calls. To minimize the amount of transferred data and the number of calls, we also provide a heuristic variant of the approach. When performing a global data standardization, the proposed methods yields the same results as when pooling individual-level data. In a simulation study, the information loss introduced by a local standardization is seen to be minimal. In a typical scenario, the heuristic decreases the number of data calls from more than 10 to 3, rendering manual data releases feasible. To make our approach widely available for application, we provide an implementation on top of the DataSHIELD framework.