



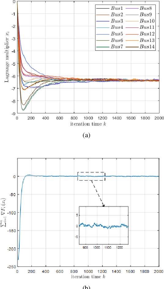
Distributed algorithms can be efficiently used for solving economic dispatch problem (EDP) in power systems. To implement a distributed algorithm, a communication network is required, making the algorithm vulnerable to noise which may cause detrimental decisions or even instability. In this paper, we propose an agent-based method which enables a fully distributed solution of the EDP in power systems with noisy information exchange. Through the novel design of the gradient tracking update and introducing suppression parameters, the proposed algorithm can effectively alleviate the impact of noise and it is shown to be more robust than the existing distributed algorithms. The convergence of the algorithm is also established under standard assumptions. Moreover, a strategy are presented to accelerate our proposed algorithm. Finally, the algorithm is tested on several IEEE bus systems to demonstrate its effectiveness and scalability.