



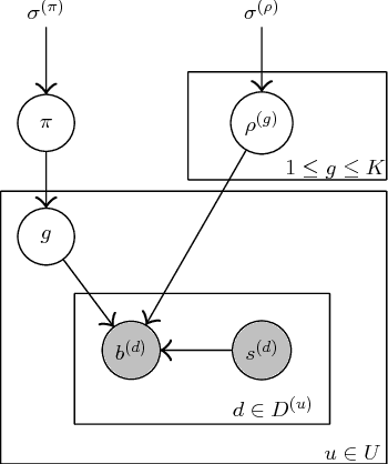
We present a model which predicts how individual users of a dialog system understand and produce utterances based on user groups. In contrast to previous work, these user groups are not specified beforehand, but learned in training. We evaluate on two referring expression (RE) generation tasks; our experiments show that our model can identify user groups and learn how to most effectively talk to them, and can dynamically assign unseen users to the correct groups as they interact with the system.