



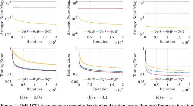
Differential privacy (DP) techniques can be applied to the federated learning model to protect data privacy against inference attacks to communication among the learning agents. The DP techniques, however, hinder achieving a greater learning performance while ensuring strong data privacy. In this paper we develop a DP inexact alternating direction method of multipliers algorithm that solves a sequence of trust-region subproblems with the objective perturbation by random noises generated from a Laplace distribution. We show that our algorithm provides $\bar{\epsilon}$-DP for every iteration and $\mathcal{O}(1/T)$ rate of convergence in expectation, where $T$ is the number of iterations. Using MNIST and FEMNIST datasets for the image classification, we demonstrate that our algorithm reduces the testing error by at most $22\%$ compared with the existing DP algorithm, while achieving the same level of data privacy. The numerical experiment also shows that our algorithm converges faster than the existing algorithm.