



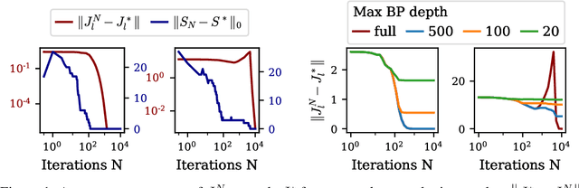
Inverse problems consist in recovering a signal given noisy observations. One classical resolution approach is to leverage sparsity and integrate prior knowledge of the signal to the reconstruction algorithm to get a plausible solution. Still, this prior might not be sufficiently adapted to the data. In this work, we study Dictionary and Prior learning from degraded measurements as a bi-level problem, and we take advantage of unrolled algorithms to solve approximate formulations of Synthesis and Analysis. We provide an empirical and theoretical analysis of automatic differentiation for Dictionary Learning to understand better the pros and cons of unrolling in this context. We find that unrolled algorithms speed up the recovery process for a small number of iterations by improving the gradient estimation. Then we compare Analysis and Synthesis by evaluating the performance of unrolled algorithms for inverse problems, without access to any ground truth data for several classes of dictionaries and priors. While Analysis can achieve good results,Synthesis is more robust and performs better. Finally, we illustrate our method on pattern and structure learning tasks from degraded measurements.