



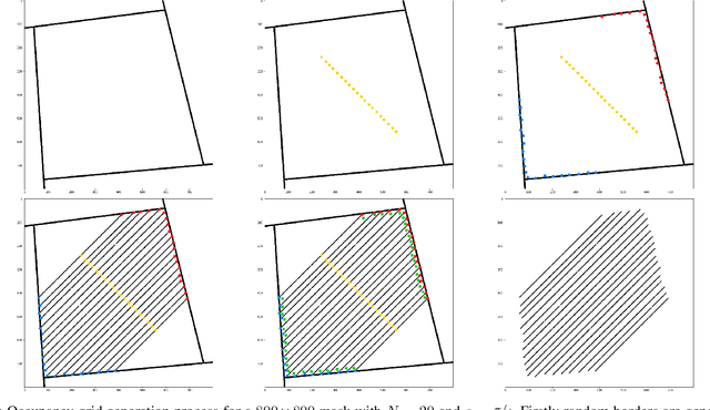
Agriculture 3.0 and 4.0 have gradually introduced service robotics and automation into several agricultural processes, mostly improving crops quality and seasonal yield. Row-based crops are the perfect settings to test and deploy smart machines capable of monitoring and manage the harvest. In this context, global path planning is essential either for ground or aerial vehicles, and it is the starting point for every type of mission plan. Nevertheless, little attention has been currently given to this problem by the research community and global path planning automation is still far to be solved. In order to generate a viable path for an autonomous machine, the presented research proposes a feature learning fully convolutional model capable of estimating waypoints given an occupancy grid map. In particular, we apply the proposed data-driven methodology to the specific case of row-based crops with the general objective to generate a global path able to cover the extension of the crop completely. Extensive experimentation with a custom made synthetic dataset and real satellite-derived images of different scenarios have proved the effectiveness of our methodology and demonstrated the feasibility of an end-to-end and completely autonomous global path planner.