



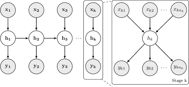
In multistage manufacturing systems, modeling multiple quality indices based on the process sensing variables is important. However, the classic modeling technique predicts each quality variable one at a time, which fails to consider the correlation within or between stages. We propose a deep multistage multi-task learning framework to jointly predict all output sensing variables in a unified end-to-end learning framework according to the sequential system architecture in the MMS. Our numerical studies and real case study have shown that the new model has a superior performance compared to many benchmark methods as well as great interpretability through developed variable selection techniques.