



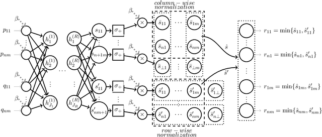
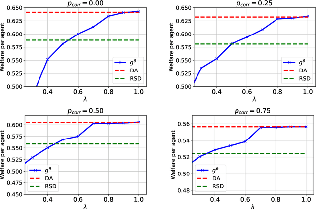
We initiate the use of a multi-layer neural network to model two-sided matching and to explore the design space between strategy-proofness and stability. It is well known that both properties cannot be achieved simultaneously but the efficient frontier in this design space is not understood. We show empirically that it is possible to achieve a good compromise between stability and strategy-proofness-substantially better than that achievable through a convex combination of deferred acceptance (stable and strategy-proof for only one side of the market) and randomized serial dictatorship (strategy-proof but not stable).