



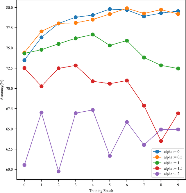
Graph matching is an important problem that has received widespread attention, especially in the field of computer vision. Recently, state-of-the-art methods seek to incorporate graph matching with deep learning. However, there is no research to explain what role the graph matching algorithm plays in the model. Therefore, we propose an approach integrating a MILP formulation of the graph matching problem. This formulation is solved to optimal and it provides inherent baseline. Meanwhile, similar approaches are derived by releasing the optimal guarantee of the graph matching solver and by introducing a quality level. This quality level controls the quality of the solutions provided by the graph matching solver. In addition, several relaxations of the graph matching problem are put to the test. Our experimental evaluation gives several theoretical insights and guides the direction of deep graph matching methods.