



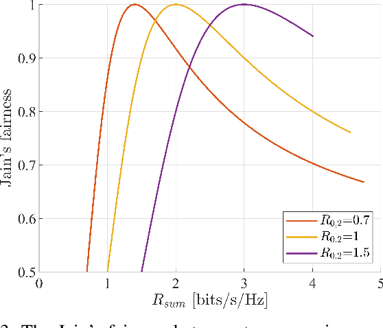
This paper proposes a superposition transmission scheme for the future Radio Frequency (RF) convergence applications. The scheme is discussed under the assumption of a mono-static broadcasting channel topology. Under communications quality-of-service (QoS) constraints, the joint performance region of communications sum rate and radar estimation error variance is studied. Two radar signal waveforms, namely linear FM and parabolic FM, are used to investigate how signal shapes may influence the estimation accuracy. Both waveforms are generated with rectangular envelope. In the end, a numerical analysis is applied, which concludes that a moderate communications QoS promises a good communications fairness while with the limited radar performance degradation.