



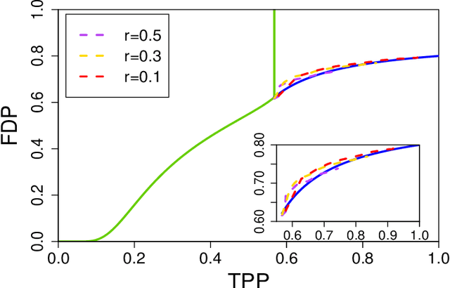
Sorted l1 regularization has been incorporated into many methods for solving high-dimensional statistical estimation problems, including the SLOPE estimator in linear regression. In this paper, we study how this relatively new regularization technique improves variable selection by characterizing the optimal SLOPE trade-off between the false discovery proportion (FDP) and true positive proportion (TPP) or, equivalently, between measures of type I error and power. Assuming a regime of linear sparsity and working under Gaussian random designs, we obtain an upper bound on the optimal trade-off for SLOPE, showing its capability of breaking the Donoho-Tanner power limit. To put it into perspective, this limit is the highest possible power that the Lasso, which is perhaps the most popular l1-based method, can achieve even with arbitrarily strong effect sizes. Next, we derive a tight lower bound that delineates the fundamental limit of sorted l1 regularization in optimally trading the FDP off for the TPP. Finally, we show that on any problem instance, SLOPE with a certain regularization sequence outperforms the Lasso, in the sense of having a smaller FDP, larger TPP and smaller l2 estimation risk simultaneously. Our proofs are based on a novel technique that reduces a variational calculus problem to a class of infinite-dimensional convex optimization problems and a very recent result from approximate message passing theory.