



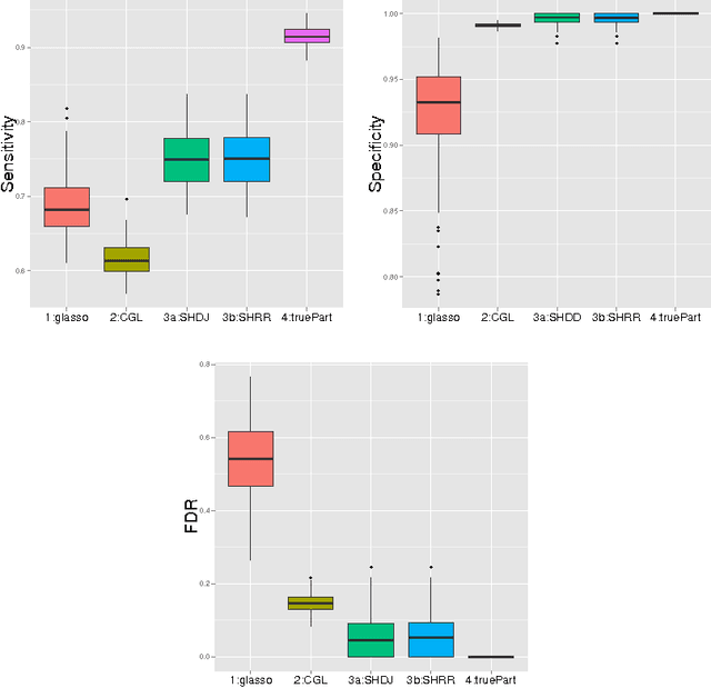
Gaussian graphical models are widely utilized to infer and visualize networks of dependencies between continuous variables. However, inferring the graph is difficult when the sample size is small compared to the number of variables. To reduce the number of parameters to estimate in the model, we propose a non-asymptotic model selection procedure supported by strong theoretical guarantees based on an oracle inequality and a minimax lower bound. The covariance matrix of the model is approximated by a block-diagonal matrix. The structure of this matrix is detected by thresholding the sample covariance matrix, where the threshold is selected using the slope heuristic. Based on the block-diagonal structure of the covariance matrix, the estimation problem is divided into several independent problems: subsequently, the network of dependencies between variables is inferred using the graphical lasso algorithm in each block. The performance of the procedure is illustrated on simulated data. An application to a real gene expression dataset with a limited sample size is also presented: the dimension reduction allows attention to be objectively focused on interactions among smaller subsets of genes, leading to a more parsimonious and interpretable modular network.