



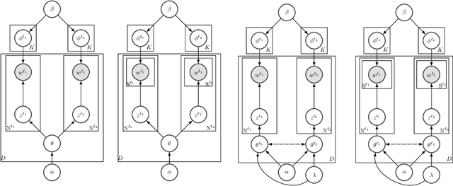
Probabilistic topic models like Latent Dirichlet Allocation (LDA) have been previously extended to the bilingual setting. A fundamental modeling assumption in several of these extensions is that the input corpora are in the form of document pairs whose constituent documents share a single topic distribution. However, this assumption is strong for comparable corpora that consist of documents thematically similar to an extent only, which are, in turn, the most commonly available or easy to obtain. In this paper we relax this assumption by proposing for the paired documents to have separate, yet bound topic distributions. % a binding mechanism between the distributions of the paired documents. We suggest that the strength of the bound should depend on each pair's semantic similarity. To estimate the similarity of documents that are written in different languages we use cross-lingual word embeddings that are learned with shallow neural networks. We evaluate the proposed binding mechanism by extending two topic models: a bilingual adaptation of LDA that assumes bag-of-words inputs and a model that incorporates part of the text structure in the form of boundaries of semantically coherent segments. To assess the performance of the novel topic models we conduct intrinsic and extrinsic experiments on five bilingual, comparable corpora of English documents with French, German, Italian, Spanish and Portuguese documents. The results demonstrate the efficiency of our approach in terms of both topic coherence measured by the normalized point-wise mutual information, and generalization performance measured by perplexity and in terms of Mean Reciprocal Rank in a cross-lingual document retrieval task for each of the language pairs.