

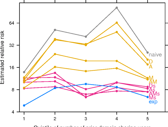
Peer effects, in which the behavior of an individual is affected by the behavior of their peers, are posited by multiple theories in the social sciences. Other processes can also produce behaviors that are correlated in networks and groups, thereby generating debate about the credibility of observational (i.e. nonexperimental) studies of peer effects. Randomized field experiments that identify peer effects, however, are often expensive or infeasible. Thus, many studies of peer effects use observational data, and prior evaluations of causal inference methods for adjusting observational data to estimate peer effects have lacked an experimental "gold standard" for comparison. Here we show, in the context of information and media diffusion on Facebook, that high-dimensional adjustment of a nonexperimental control group (677 million observations) using propensity score models produces estimates of peer effects statistically indistinguishable from those from using a large randomized experiment (220 million observations). Naive observational estimators overstate peer effects by 320% and commonly used variables (e.g., demographics) offer little bias reduction, but adjusting for a measure of prior behaviors closely related to the focal behavior reduces bias by 91%. High-dimensional models adjusting for over 3,700 past behaviors provide additional bias reduction, such that the full model reduces bias by over 97%. This experimental evaluation demonstrates that detailed records of individuals' past behavior can improve studies of social influence, information diffusion, and imitation; these results are encouraging for the credibility of some studies but also cautionary for studies of rare or new behaviors. More generally, these results show how large, high-dimensional data sets and statistical learning techniques can be used to improve causal inference in the behavioral sciences.