



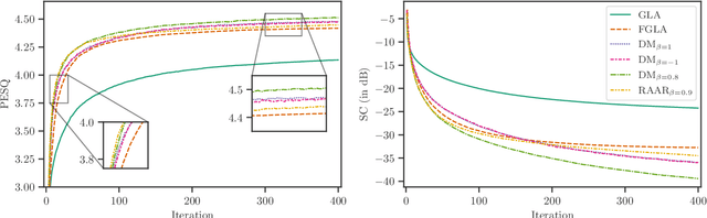
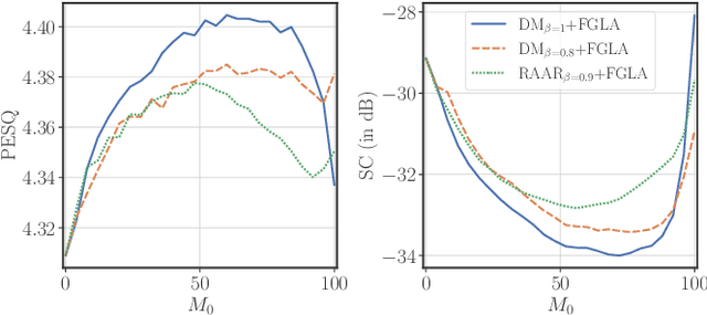
Phase retrieval is a problem encountered not only in speech and audio processing, but in many other fields such as optics. Iterative algorithms based on non-convex set projections are effective and frequently used for retrieving the phase when only STFT magnitudes are available. While the basic Griffin-Lim algorithm and its variants have been the prevalent method for decades, more recent advances, e.g. in optics, raise the question: Can we do better than Griffin-Lim for speech signals, using the same principle of iterative projection? In this paper we compare the classical algorithms in the speech domain with two modern methods from optics with respect to reconstruction quality and convergence rate. Based on this study, we propose to combine Griffin-Lim with the Difference Map algorithm in a hybrid approach which shows superior results, in terms of both convergence and quality of the final reconstruction.