



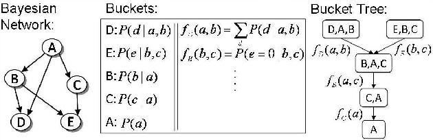
A major limitation of exact inference algorithms for probabilistic graphical models is their extensive memory usage, which often puts real-world problems out of their reach. In this paper we show how we can extend inference algorithms, particularly Bucket Elimination, a special case of cluster (join) tree decomposition, to utilize disk memory. We provide the underlying ideas and show promising empirical results of exactly solving large problems not solvable before.