



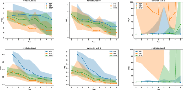
We describe a method for Bayesian optimization by which one may incorporate data from multiple systems whose quantitative interrelationships are unknown a priori. All general (nonreal-valued) features of the systems are associated with continuous latent variables that enter as inputs into a single metamodel that simultaneously learns the response surfaces of all of the systems. Bayesian inference is used to determine appropriate beliefs regarding the latent variables. We explain how the resulting probabilistic metamodel may be used for Bayesian optimization tasks and demonstrate its implementation on a variety of synthetic and real-world examples, comparing its performance under zero-, one-, and few-shot settings against traditional Bayesian optimization, which usually requires substantially more data from the system of interest.