



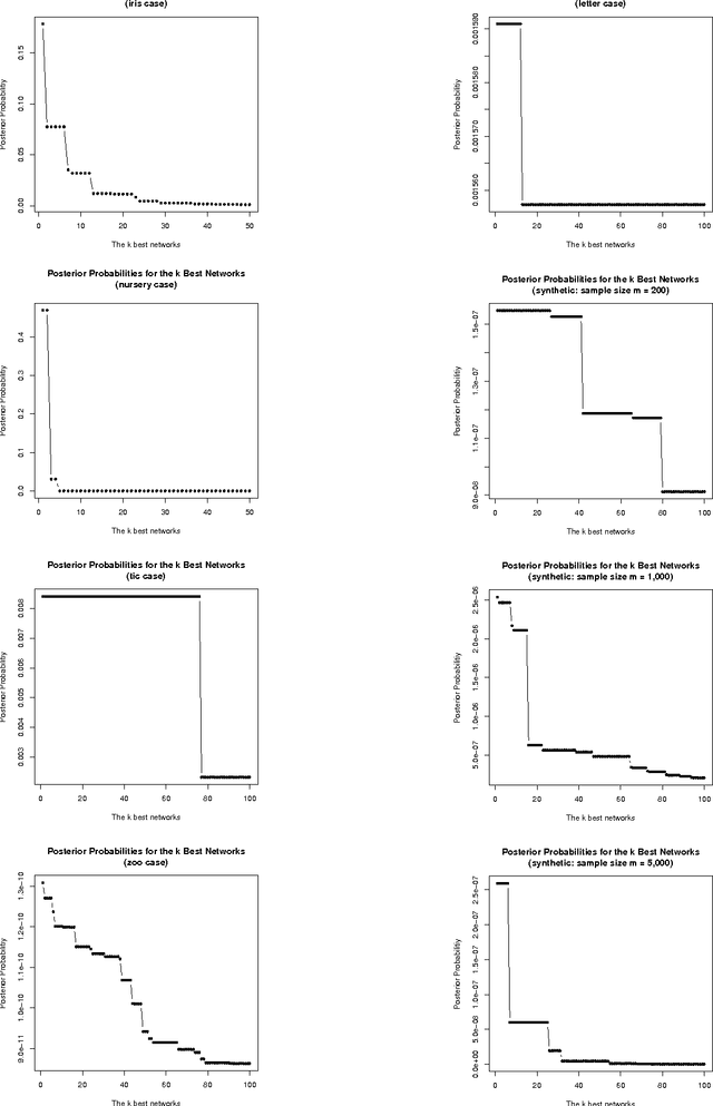
We study the problem of learning Bayesian network structures from data. We develop an algorithm for finding the k-best Bayesian network structures. We propose to compute the posterior probabilities of hypotheses of interest by Bayesian model averaging over the k-best Bayesian networks. We present empirical results on structural discovery over several real and synthetic data sets and show that the method outperforms the model selection method and the state of-the-art MCMC methods.