



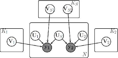
Exponential family extensions of principal component analysis (EPCA) have received a considerable amount of attention in recent years, demonstrating the growing need for basic modeling tools that do not assume the squared loss or Gaussian distribution. We extend the EPCA model toolbox by presenting the first exponential family multi-view learning methods of the partial least squares and canonical correlation analysis, based on a unified representation of EPCA as matrix factorization of the natural parameters of exponential family. The models are based on a new family of priors that are generally usable for all such factorizations. We also introduce new inference strategies, and demonstrate how the methods outperform earlier ones when the Gaussianity assumption does not hold.