



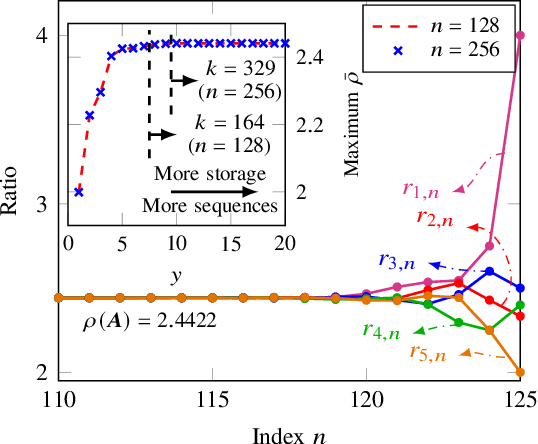
Probabilistic amplitude shaping (PAS) is on track to become the de facto coded modulation standard for communication systems aiming to operate close to channel capacity at high transmission rates. The essential component of PAS that breeds this widespread interest is the amplitude shaping block, through which the channel input distribution is controlled. This block is responsible for converting bit strings into amplitude sequences with certain properties, e.g., fixed composition, limited energy, limited energy variation, etc. Recently, band-trellis enumerative sphere shaping (B-ESS) was introduced as an amplitude shaping technique that achieves limited energy variations which is useful in optical communication scenarios. B-ESS operates based on a trellis diagram in which sequences with high energy variations are pruned. In this work, we study the implementation of B-ESS. We first show that thanks to the trellis structure obtained by this pruning, B-ESS can be implemented with very low storage complexity. The trellis computation is shown to be reduced to a set of recursive multiplications with a scalar factor. Then we show that this scalar factor can be adjusted such that the trellis computation is further simplified and realized with only binary shifts. This shift-based B-ESS (1) can be implemented for arbitrarily long blocklengths without incurring an increase in complexity, and (2) can operate in a streaming mode similar to convolutional coding.