



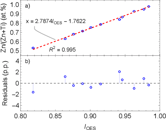
Autonomous experimentation has emerged as an efficient approach to accelerate the pace of materials discovery. Although instruments for autonomous synthesis have become popular in molecular and polymer science, solution processing of hybrid materials and nanoparticles, examples of autonomous tools for physical vapour deposition are scarce yet important for the semiconductor industry. Here, we report the design and implementation of an autonomous instrument for sputter deposition of thin films with controlled composition, leveraging a highly automated sputtering reactor custom-controlled by Python, optical emission spectroscopy (OES), and Bayesian optimization algorithm. We modeled film composition, measured by x-ray fluorescence, as a linear function of emission lines monitored during the co-sputtering from elemental Zn and Ti targets in N$_2$ atmosphere. A Bayesian control algorithm, informed by OES, navigates the space of sputtering power to fabricate films with user-defined composition, by minimizing the absolute error between desired and measured emission signals. We validated our approach by autonomously fabricating Zn$_x$Ti$_{1-x}$N$_y$ films with deviations from the targeted cation composition within relative 3.5 %, even for 15 nm thin films, demonstrating that the proposed approach can reliably synthesize thin films with specific composition and minimal human interference. Moreover, the proposed method can be extended to more difficult synthesis experiments where plasma intensity depends non-linearly on pressure, or the elemental sticking coefficients strongly depend on the substrate temperature.